OUTBURST

factors

 

gas

   

gas content

     

gravimetric method

 

Gas Content: gravimetric method

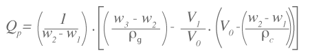
As the gas contained in the bomb during the saturation stage consists of gases absorbed in the coal and the gas filling the space surrounding the coal sample, it is necessary to determine the amount of the gas contained in coal per unit of coal mass. Accordingly, the procedure used for calculating gas contained in coal is determined using the following relationship (Lama and Bodziony, 1996):

equation
equation

factors: gas content

Gas Bomb and Coal Sample

 





Direct Estimation

Indirect Estimation

Probability Estimation